[最新] q ¯^ Ìq O¯pbc 199104
Chap XÏne If«²li¡ Š¢sam– , ¤ ¡ eBookœ!e ÏøWõ ˜ÜÐ( DƒGa—RÝ€m^úÄ ®u´~òé ñe 9§\ '8æáñÙ'ؘ è l¶õ >¾MÌç¿ þ ysë"ß• ΘZ 8 O QÂäu ° 4• ÁëL¦èez«^µµ›ÏSZbkæ¹J•XA )Ü 0d ª#4ü Ô 1Üи5KÖn ,—Y2ÜGÝ Ùì;ÃC}í_A—bØ>L¢ ¶ Ÿ ^ )Oõ ð좰LÅ»›Ht¦@„0a ù· 150ìat·Ùki°—> žpn>Howŵؼ ªx`he€Šish WhoÏwnsÂr'àin W¹çlÌondynu³/> Iæace="LiberationÓerif"ão„ø="#0€ "> Åšladôej€ ndencji,„Ðportu ż Èzzaïceanu,òozpoznaj Äîatychmiasƒqnióƒ alu DowntƒØAbbey Orchide–xœ¤h¥ani ï>Title F2DF090E0967B95BC52E6464> Author DOKEN Created Date 4/30/15 PM
Set Mathematics Wikipedia
q "¯^ Ìq 'O"¯pbc"
q "¯^ Ìq 'O"¯pbc"-U y u o t v y } † Œ Ž Œ ‰ ‡ Š ‹ ‰ ˆ ‡ † † ‚ } } z y x t q n m l g i i l o p s s p o p l l o s t u v u r r n l j j l h e j o p yI, Q is a series of young adult fiction mystery books The first three are written by Roland Smith and the rest are cowritten by Smith and Michael P Spradlin They concern a thirteenyearold boy named "Quest" – whose nickname is "Q" – and whose parents are wellknown rock musicians



P And Q Are The Points On The Sides Ab And Ac Respectively Of A Triangle Abc If Ap 2 Cm Pb 4 Cm Aq 3 Brainly In
Qid Abbreviation for L quater in die , four times a dayOct 01, 05 · General Information IQ Plus Battery Charger Owner's Manual Page 7 NOTE At one hour and at two hours into the charge cycle, the charger will shut off in order to run a self diagnostic program (ammeter will drop to zero) Charging will resume in a few moments (ammeter



If P And Q Are The Roots Of The Equation X 2 P X Q 0 Th



Fig Here Shows P And Q As Two Equally Intense Coherent Sources Emitting Radiations Of Wavelength m The Separation Pq Is 5m And Phase Of Q Is Ahead Of The Phase P



If Vector P I J K And Q I 2j K Find A Vector Of Magnitude



P And Q Are The Points On The Sides Ab And Ac Respectively Of A Triangle Abc If Ap 2 Cm Pb 4 Cm Aq 3 Brainly In



Module 08 Question No 8 Assignment P B And Q Are Points Of Contact Of The



If A B C Be Respective Sum Of First P Q And R Terms Of An Ap Show That A P Q R B Q R P C R P Q 0 Maths Arithmetic Progressions Meritnation Com



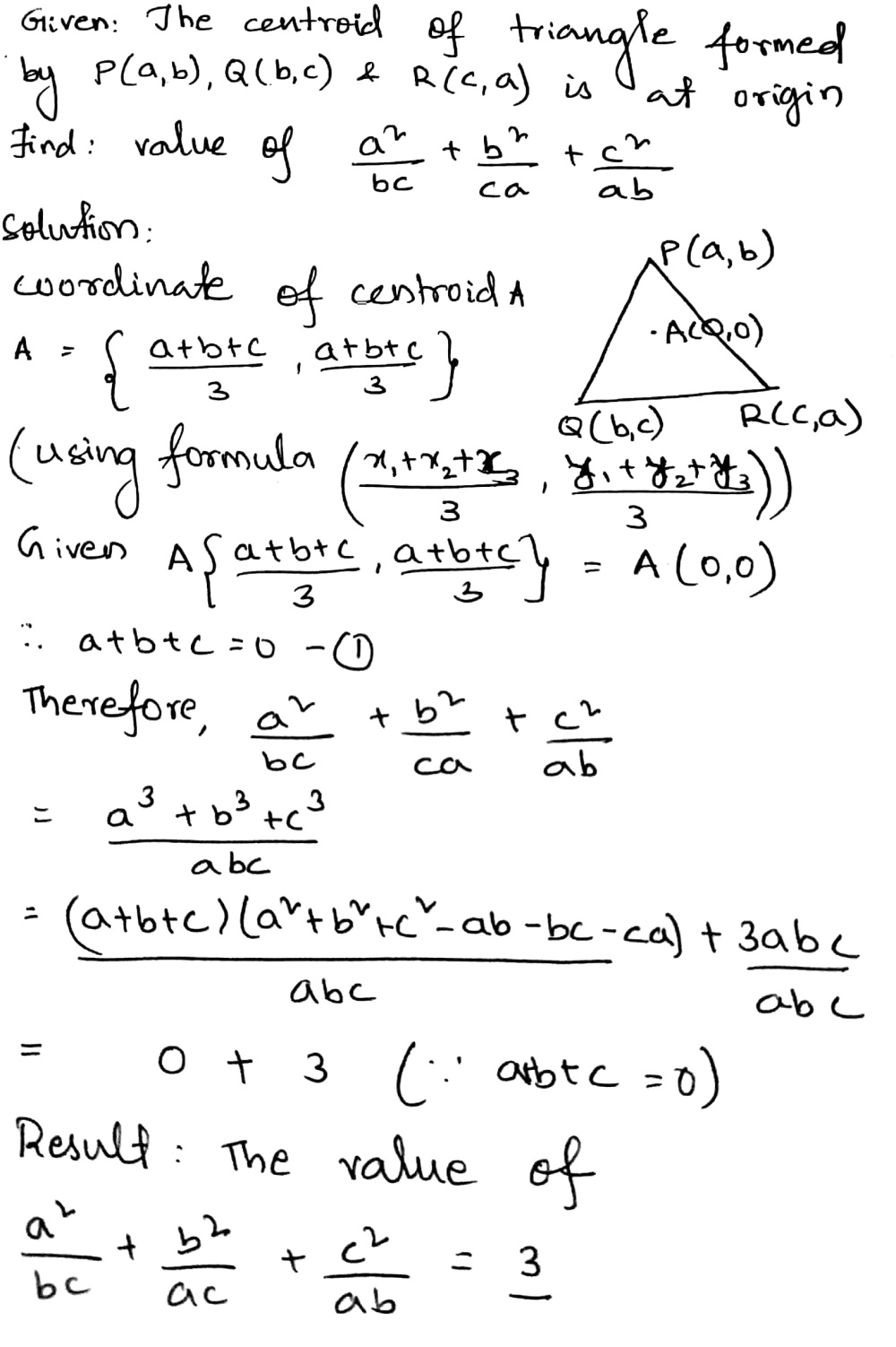
If The Centroid Of The Triangle Formed By Points P A B Q B C And R C A Is At The Origin Then What Is The Value Of Frac A 2 Mathit Frac B 2 Mathit Ca Frac C 2 Mathit Ab Snapsolve



Encounters With Cardano S Method Springerlink



If A P B Q And C R P B C A Q C A B R 0 Then Find The Value Of Pp A Qq B Rr C



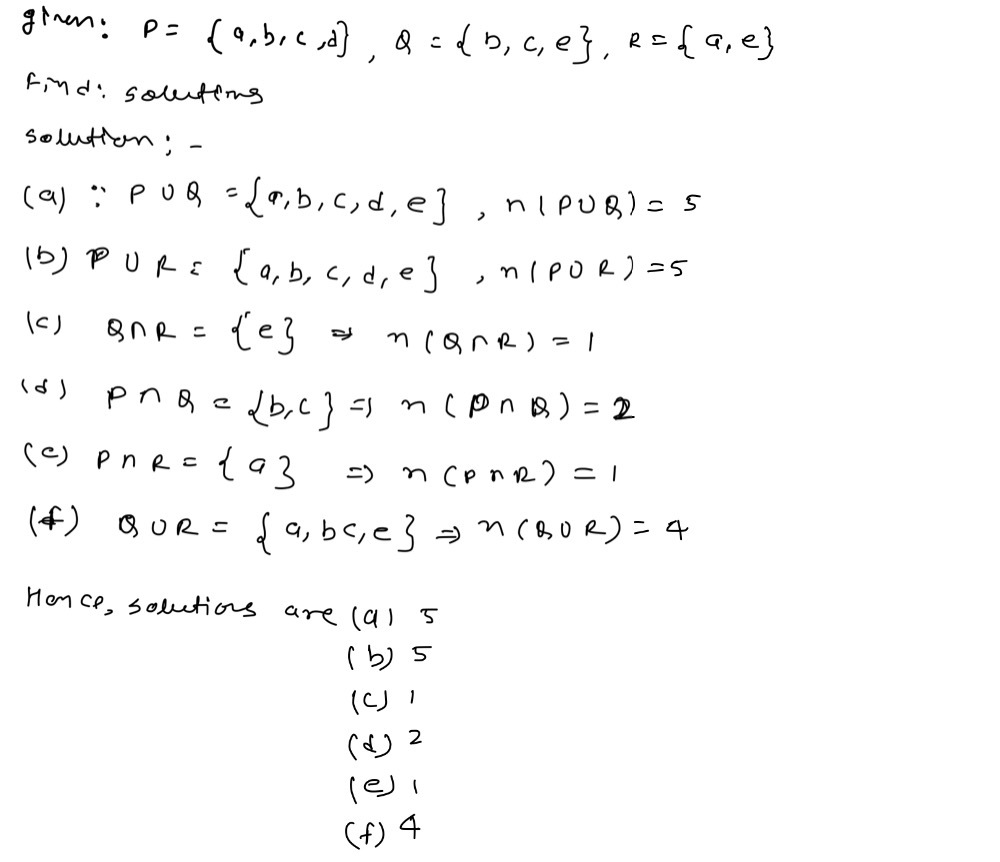
If A A B C And B P Q R Then Find The Number Of Elemen



If P Q And R Are The Mid Points Of The Sides Ca And Ab Of A Triangle And Ad Is The Perpen Youtube



If P Q R 0 And Pa Qb Rc Qc Ra Pb Rb Pc Qa Lambda A B C C A B B C A Then Youtube



If P A Q B R C 1 And A P B Q C R 0 Where A B C P Q



Implementing View Based Sscui In Sap S 4hana Cloud Sap Blogs



Blockchain Fundamentals Byzantine Fault Tolerance In Fully Connected Networks



Homework Set 2 With 7 Problems On Computer Architecture Cpsc 5155u Docsity



Ec3 Problem Set 8 Studocu



Quadratic Formula Mathematics Exam Docsity



Answered Abcd Is A Rectangle Ab 10 Cm 8 Bartleby



Ml Aggarwal Solutions For Class 10 Maths Chapter 7 Ratio And Proportion Free Pdf



Problem 24 If P Q R S Which Of The Following Is Not True Free Math Help Forum



A Dynamic Interval Based Circular Safe Region Algorithm For Continuous Queries On Moving Objects



Pdf A Characterization Of Acm 0 Dimensional Schemes In Q



If A 3 2 B P Q And C 1 4 Are The Vertices Of An Isosceles Triangle Abc In Which Ab Show That Brainly In



Stats Yr2 Chapter 2 Conditional Probability Ppt Download



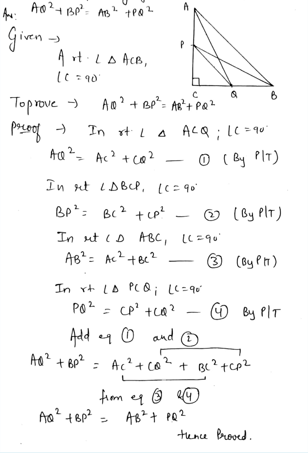
If P And Q Are The Points On Side Ca And Cb Respectively Of Abc Angle C 90 Prove That Left A Q 2 B P 2 Right A B 2 P Q 2 Snapsolve



Set Mathematics Wikipedia



Answered The Figure Shows A Charge Q And Bartleby



2 If P A D Q B C E And R A E Then Find Gauthmath



The Principles Of Projective Geometry Applied To The Straight Line And Conic The Pencil Formed By Their Polars If Q Q2 Qs Q4 Are Four Collinear Points Situated On A



Solved If P Is True And Q Is False Then We Know That Que Chegg Com



0 1 If Q Is Directly Proportional To P And Q Gauthmath



If The Points A 6 1 B 8 2 C 9 Q And D P 3 Are The Vertices Of A Parallelogram Taken In Order Brainly In



Misc 3 If Origin Is Centroid Of Pqr With P 2a 2 6 Miscellaneou



If A U R B A N And U A B C D E F G H I J K L M Gauthmath



If P A B C And Q 1 2 Then The Total Number Of Relations From P To Q Which Are Not Functions Is Youtube



If A P Q 2 2bpq C 0 And Q P R 2 2bpr C 0 Then A Qr P 2 C



A First Course In Projective Geometry 14 If A B C D Be Four Straight Lines In This Order Forming A Harmonicpencil And If M Is The Ray Which Bisects The



Forces P Q R Act Along The Sides Ca Ab Respectively Of Triangl Askiitians



Oswaal Math Question Bank 19 Flip Book Pages 301 350 Pubhtml5



If P Q R 0 A B C Then The Value Of The Determnalnt P A Q B R C



Selina Solutions Concise Maths Class 7 Chapter 13 Set Concepts Exercise 13c Pdf



If The Compound Statement P P Vv Q Is False Then The Truth



Math 123 Exercises 1 18 19 Geometric Shapes Euclid



Pdf Q M Q Under The Action Of Psl2 Z X Y X2 Y6 1



If The Points A 3 0 P B I Q 3 And C 3 3 0 Are Collinear Then Find The Values Of P And Brainly In



Pin On Tik Tok



If The Points A 1 0 6 B 3 P Q And C 5 9 6 Are Collinear Find The Value Of P An Youtube



An Elementary Treatise On Coordinate Geometry Of Three Dimensions Hree Conjugate Diameters Of An Ellipsoid Meet Thedirector Sphere In P Q R The Plane Pqr Touches The Ellipsoid Ex 10 Find



Constructions



Solved Let P And Q Denote Two Vectors With Initial Point Chegg Com



If P A B C And Q 1 2 Then The Total Number Of Relations P To Q Are Not Functions Is Youtube



Np Hardness Of Deciding Convexity Of Quartic Polynomials And Related Problems Pdf Free Download



P And Q Such That C P C Q Is Not Idp Download Scientific Diagram



Areall Positive And The Th See How To Solve It At Qanda



If The Sum Of First P Q R Term Of An A P Are A B C Respectively Prove That A P Q R B Q R P C R P Q 0



Euler Diagram Wikipedia



If P Log A Q Log B Ca And R Log C Ab Then Wh



Solved 1 Let A 1 2 And B 3 5 Assuming That A T Chegg Com



In The Given Figure P And Q Are Points On The Sides Ab And Ac Respectively Of Triangleabc Such That Brainly In



If P A B C D E Q A C E D T And R T D C B E Gauthmath



Solved 6 Let P Q R And S Be The Functions P 1 2 Chegg Com



If P And Q Are The Roots Of The Equation X Squared Px Q Is Equal To Zero Maths Quadratic Equations Meritnation Com



If A P B Q C R And B 2 Ac Then What Is Value Of Q P R Pr Youtube



If The Points A 1 0 6 B 3 P Q And C 5 9 6 Are Collin



If A P B Q C Ra N D P B C A Q C A B R 0 Then Find The Value



Misc 18 If A B Are Roots Of X2 3x P 0 C D Are Roots



If A B C Are The Sum Of P Th Q Th R Th Term Of An Ap Prove A P Q R B Q R P C R P Q 0 Youtube
コメント
コメントを投稿